古天乐代言太阳集团(中国)有限公司官网
集团概况
集团概况
董事长
影像古天乐代言太阳集团
集团化优势
项目拓展
项目拓展
汉德新闻
综合新闻
媒体聚集
教育教学
雄厚师资
优秀课程
辉煌成绩
教育培训
多彩校园
体育艺术
社团活动
校园风光
研学中心
国际留学
合作学校
山西翼城汉德园中学
山西桐封技师学院
山西桐封技工学校
山西洪洞晋洪中学
山西浮山古天乐代言太阳集团实验学校
山西运城绛县三维高级中学
山西绛县古天乐代言太阳集团学校
山西霍州博翔学校
山西临猗县银星学校
天津生态城汉德中等职业学校
山西省平陆县康平中学
山西夏县大鹏学校
临汾汉德职业高级中学
安徽巢湖一鸣学校
山西翼城古天乐代言太阳集团幼儿园
张家口贝乐儿童之家幼儿园
山西太原行知宏实验中学
天津生态城汉德中等职业学校(河北区)
张家口经开区起航幼儿园
临汾优咪幼儿园
北京市昌平区新龙学校
河南省安阳市文昌实验中学
临猗县创新学校
天津古天乐代言太阳集团教育园区
职教专栏
机构设置
教学资源
职教看法
招生宣传
职教成果
服务保障
餐饮服务
生活服务
医疗保障
安全保障
招生招聘
招聘信息
招生简章
联系我们
在线留言
联系我们
集团概况
集团概况
董事长
影像古天乐代言太阳集团
集团化优势
项目拓展
项目拓展
汉德新闻
综合新闻
媒体聚集
教育教学
雄厚师资
优秀课程
辉煌成绩
教育培训
多彩校园
体育艺术
社团活动
校园风光
研学中心
国际留学
服务保障
餐饮服务
生活服务
医疗保障
安全保障
合作学校
招生招聘
招聘信息
招生简章
联系我们
在线留言
联系我们
职教专栏
机构设置
教学资源
职教看法
招生宣传
职教成果
站内搜索
推荐搜索:
网站首页
集团概况
项目拓展
汉德新闻
教育教学
多彩校园
服务保障
合作学校
招生招聘
联系我们
职教专栏
教学资源
海量职教课程教学资源
首页
>>
职教专栏
>>
教学资源
教学资源
机构设置
教学资源
职教看法
招生宣传
职教成果
分享
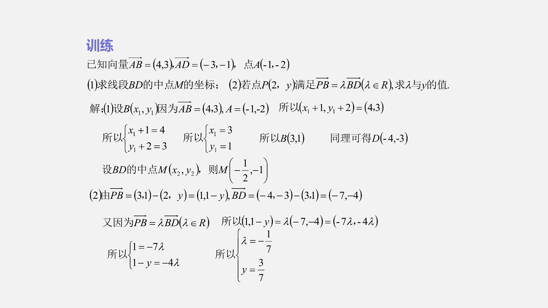
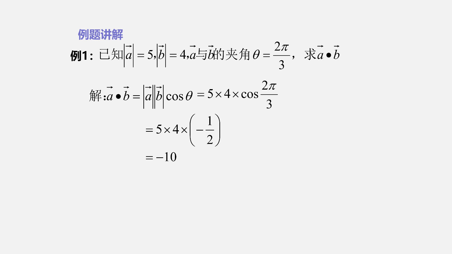
桐封对口部 基础模块下册(数学)第七章 《向量》ppt课件
2022-08-29
分享
上一条:桐封对口部 职业模块(语文)第四版第二课《青年在选择职业时的的考虑》电子教案
下一条:桐封对口部 基础模块下册(语文)第四版 第二课《善良》ppt课件
< 返回列表